Дуже дуже терміново !!!!
25 балів !!!!
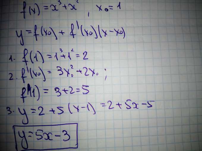
Складіть рівняння дотичної до графіка функції f(x)= x^3 + x^2 у точці з абсцисою Хо=1.
Ответ проверен экспертом
5 (1 оценка)
0
valenivan 4 года назад
Светило науки - 5862 ответа - 16777 раз оказано помощи

Відповідь: у=5х-3

Покрокове пояснення: фото

Ответ
5 (1 оценка)
0
triolana 4 года назад
Светило науки - 540537 ответов - 388270 раз оказано помощи

Уравнение касательной к графику функции в точке хо

y=f(xo) + f'(xo)*(x-xo)    

--------------------------------

f(x)=x³ + x²       xo=1

f(xo)=f(1)=1³ + 1²=2

f'(x)=3x² + 2x

f'(1)=3*1² + 2*1=5

y=2 + 5*(x-1)

у=2 + 5х - 5

у=5х - 3.    Это ответ.

Остались вопросы?