Помогите пожалуйста, СРОЧНО!!!
Нужно сделать 7 и 8 задание
Ответ
0 (0 оценок)
1
aykaa02 4 года назад
Светило науки - 265 ответов - 0 раз оказано помощи

Ответ:

1) в

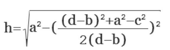
формула на фотке

2) г

дальше не понимаю перевод напишу решение отправлю

Остались вопросы?