вопрос на фото...........
только вариант ответа​
Ответ
5 (1 оценка)
0
murysenichka 4 года назад
Светило науки - 17 ответов - 0 раз оказано помощи

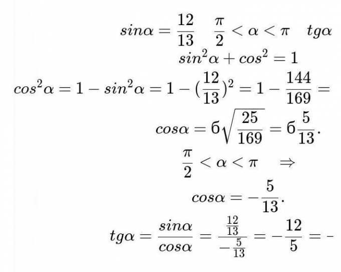
Ответ:

tga=sina/cosa=(12/13)/(5/13)=5/12.

Ответ
0 (0 оценок)
0
favorituzer136 4 года назад
Светило науки - 1 ответ - 0 раз оказано помощи

Пошаговое объяснение:

вот так то так но не как иначе

Остались вопросы?