16х-2х^2-24=0
ПОМОГИТЕ ВЫЧИСЛИТЬ ДИСКРИМИНАНТ!!!!
Ответ
4 (5 оценок)
6
andrey27727 4 года назад
Светило науки - 362 ответа - 0 раз оказано помощи

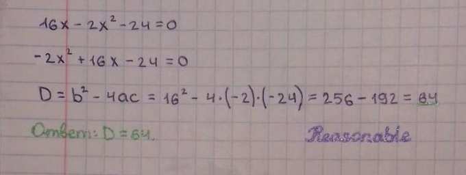
Решение и ответ на фотографии

Ответ
5 (2 оценки)
5
vimmortal2 4 года назад
Светило науки - 464 ответа - 0 раз оказано помощи

Ответ:

D = 64

Пошаговое объяснение:

16x - 2x² - 24 = 0

-2x² + 16x - 24 = 0

D = b² - 4*a*c.

D = 16² - 4 * (-2) * (-24) = 256 - 192 = 64

Ответ: D = 64.

Остались вопросы?