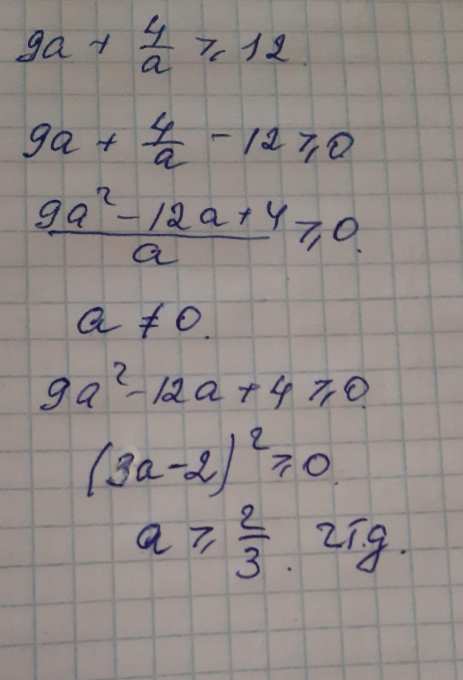
доказать a>0


Ответ проверен экспертом
5 (1 оценка)
1
mmb1 4 года назад
Светило науки - 9620 ответов - 48067 раз оказано помощи

9a + 4/a >= 12

9a + 4/a - 12 >= 0

(9a² - 12a + 4)/a >= 0

((3a)² - 2*3a*2 + 2²)/a >= 0

(3a - 2)²/a >= 0

Метод интервалов

---------------(0)++++++++[2/3]+++++++

a > 0

чтд

Ответ
5 (2 оценки)
1
bahytgulkabylainova 4 года назад
Светило науки - 452 ответа - 0 раз оказано помощи

Пошаговое объяснение:

см фото,,,,,,,,,,,,,,,,

Остались вопросы?