Решить уравнение
Ответ проверен экспертом
5 (4 оценки)
4
kanmmu 4 года назад
Светило науки - 113 ответов - 0 раз оказано помощи

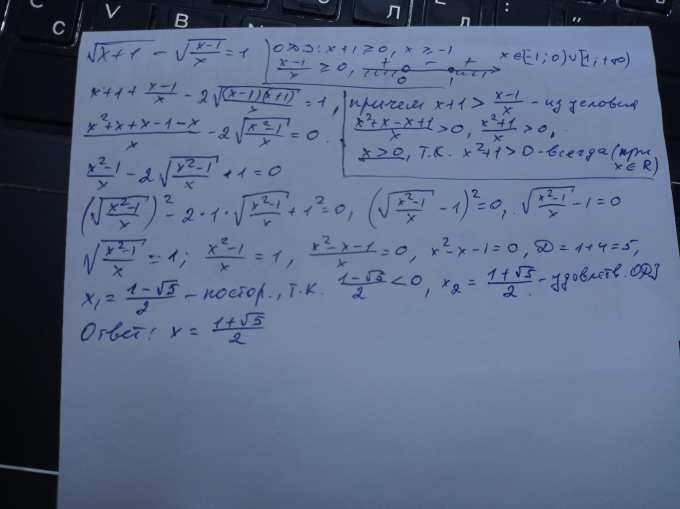
Ответ:

Объяснение:

На фото

Ответ проверен экспертом
5 (3 оценки)
2
valenivan 4 года назад
Светило науки - 5862 ответа - 16777 раз оказано помощи

Решение задания прилагаю.

Остались вопросы?