уравнения, помогите срочно...

Это не уравнение

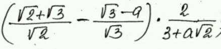
Думаю надо упростить

блин да, это не уровнение

тут нужно выполнить действия, у меня уже в башке что-то не то

2 способ. Если внимательно посмотреть на дроби в первой скобке, то можно заметить, что после деления на корни там =(|/3 / |/2+а/ |/3)=(3+а|/2)/ |/6. И далее умножаем на вторую дробь.

Ответ
5 (1 оценка)
2
MizoriesKun 4 года назад
Светило науки - 7576 ответов - 22588 раз оказано помощи

Смотри............................

Остались вопросы?