Нужна помощь с тригонометрией! Примеры: №2, 3, 5.

Если это тригонометрия , то я Джулия Робертс )

Ответ проверен экспертом
5 (1 оценка)
2
bahytgulkabylainova 4 года назад
Светило науки - 452 ответа - 0 раз оказано помощи

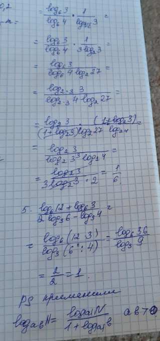
Объяснение:

см фото,,,,,,,,,,,,,,,,,,,,,,,

Ответ проверен экспертом
5 (1 оценка)
1
Universalka 4 года назад
Светило науки - 9485 ответов - 28658 раз оказано помощи

Остались вопросы?