Помогите пожалуйста
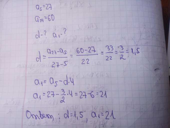
Найдите первый член и разность арифметической прогрессии (Cn) если а₅=27 а₂₇=60
Ответ проверен экспертом
5 (1 оценка)
1
valenivan 4 года назад
Светило науки - 5862 ответа - 16777 раз оказано помощи

Відповідь: d=1,5, a1=21

Пояснення: фото

Ответ проверен экспертом
0 (0 оценок)
0
Universalka 4 года назад
Светило науки - 9485 ответов - 28658 раз оказано помощи

Остались вопросы?