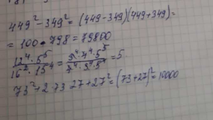
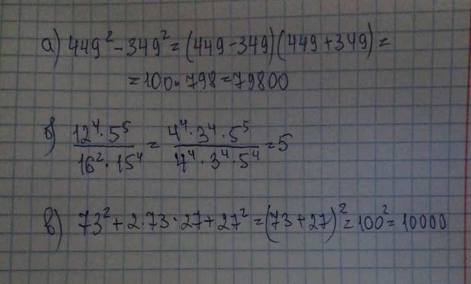
Найдите значение выражения наиболее рациональные способом a) 449^2-349^2 б) на фотке в) 73^2+2×3×27×27^2​
Ответ
5 (1 оценка)
1
bahytgulkabylainova 4 года назад
Светило науки - 452 ответа - 0 раз оказано помощи

Объяснение:

см фото,,,,,,,,,,,,,,,,,,,,,

Ответ
5 (1 оценка)
1
ludmilaksenija2005 4 года назад
Светило науки - 3369 ответов - 0 раз оказано помощи

Объяснение:

Решение на фото

_______________

Остались вопросы?